Are you looking for a Math 3 Unit 3 Worksheet 1 to help your child practice their math skills? Look no further! This worksheet is designed to reinforce key concepts covered in Unit 3 and provide additional practice for students.
With a variety of problems ranging from basic arithmetic to more complex word problems, this worksheet is perfect for students at all levels. Whether your child needs extra practice or just wants to stay sharp, this worksheet has something for everyone.
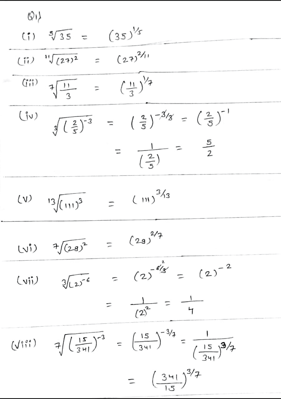
Math 3 Unit 3 Worksheet 1
Math 3 Unit 3 Worksheet 1: Practice Makes Perfect
By completing this worksheet, students will have the opportunity to review concepts such as fractions, decimals, and percentages. They will also work on problem-solving skills and critical thinking, which are essential for success in math and beyond.
Encourage your child to work through each problem carefully, showing their work and explaining their thought process. This will not only help them understand the material better but also build confidence in their math abilities.
Remember, practice makes perfect! The more your child works on math problems, the more comfortable and confident they will become. So grab a pencil, print out the Math 3 Unit 3 Worksheet 1, and let the learning begin!
So why wait? Download the Math 3 Unit 3 Worksheet 1 today and give your child the extra practice they need to succeed in math. With a little hard work and dedication, they’ll be acing their math tests in no time!
Unit 3 Worksheet 1 Exponents And Radicals Class 8 DAV Secondary Mathematics NCERTBOOKSPDF COM
Year 3 Maths Unit 1 3 Interactive Worksheet TopWorksheets
Lucky To Learn Math 1st Grade Unit 3 Subtraction Assessment Lucky Little Learners
3 1 Congruent Figures Kaylin Everett Library Formative
Answered Math 3 Unit 3 Worksheet 1 End Behavior Of Polynomial Functions D Identify The Leading Coefficient Degree And End Behavior 1 F x U003d 5x 7x 3 Degree 2 Y Bartleby





